当前位置:肿瘤瞭望>资讯>快讯>正文

EBMT圆桌会丨胡绍燕教授团队:allo-HSCT与CAR-T细胞治疗在儿童白血病患者中的疗效与安全性

作者:  Longmei  Peng   日期:2024/4/28 16:03:13  浏览量:23545

肿瘤瞭望版权所有,谢绝任何形式转载,侵犯版权者必予法律追究。

在本届大会上,苏州大学附属儿童医院胡绍燕教授及其团队成员报告了6项研究。《肿瘤瞭望-血液时讯》特邀请胡绍燕教授及其团队成员以圆桌会的形式和广大读者分享他们关于allo-HSCT与CAR-T细胞治疗在儿童白血病患者中的疗效与安全性的研究成果,并针对这6项研究进行精彩述评。

编者按:异基因造血干细胞移植(allo-HSCT)和嵌合抗原受体T细胞(CAR-T)疗法已成为治疗白血病的重要手段。然而,这些治疗方法的有效性和安全性仍然是研究的热点。近期,一系列突破性研究为我们提供了宝贵的见解,特别是在复发/难治性B细胞急性淋巴细胞白血病(B-ALL)儿童患者的治疗、移植物抗宿主病(GVHD)的预防和监测、以及CAR-T治疗后并发症的管理等方面。2024年4月14日至17日,第50届欧洲血液和骨髓移植学会(EBMT)年会在英国格拉斯哥隆重举行。会议聚焦干细胞移植和细胞疗法的最新进展,推动着血液病患者向着更好的临床预后迈进。在本届大会上,苏州大学附属儿童医院胡绍燕教授及其团队成员报告了6项研究。《肿瘤瞭望-血液时讯》特邀请胡绍燕教授及其团队成员以圆桌会的形式和广大读者分享他们关于allo-HSCT与CAR-T细胞治疗在儿童白血病患者中的疗效与安全性的研究成果,并针对这6项研究进行精彩述评。
 
(左:胡绍燕教授、左上:卢俊教授、右上:周密、左下:高莉、右下:李泊涵)
 
在复发/难治性B细胞急性淋巴细胞白血病儿童患者中对比CAR-T细胞治疗或化疗后接受异基因造血干细胞移植的预后:多中心研究CCCG-ALL-2015
讲者:李泊涵
 
背景
 
复发/难治性(R/R)B细胞急性淋巴细胞白血病(B-ALL)是儿童发病率和死亡率高的主要原因。R/R B-ALL患者通常在接受嵌合抗原受体(CAR)T细胞治疗或化疗后进行巩固性异基因造血干细胞移植(allo-HSCT)以维持长期缓解。然而,CAR-T治疗后allo-HSCT的有效性和安全性仍存在争议。本研究旨在调查B-ALL儿童患者接受CAR-T治疗与接受化疗后进行allo-HSCT的预后对比。
 
方法
 
我们在一项多中心临床研究中分析了269例接受CAR-T治疗后(CAR-T-allo-HSCT组,n=142)或化疗后(化疗-allo-HSCT组,n=127)进行allo-HSCT的R/R B-ALL儿童患者的结果,研究纳入了2015年1月至2022年12月间在20家医院确诊为ALL患者。在接受allo-HSCT之前,所有患者均按照中国儿童癌症组ALL-2015(CCCG-ALL-2015)协议接受治疗,并在中国临床试验注册中心(ChiCTR-IPR-14005706)进行注册。
 
结果
 
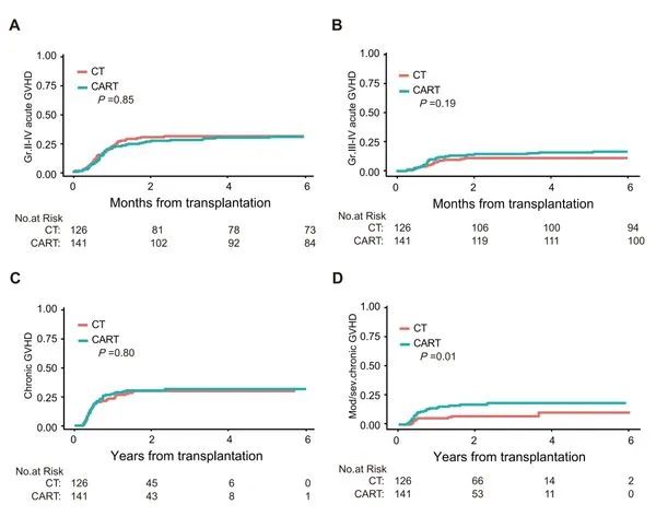
与化疗-allo-HSCT组相比,CAR-T-allo-HSCT组达到第二次完全缓解(CR)的患者更多(78.6%vs.58.0%;P<0.001)、MRD阴性的患者更多(86.9%vs.66.2%;P<0.001)。CAR-T-allo-HSCT组中度/重度慢性移植物抗宿主病(mod/sev cGVHD)的发病率更高(19.09%[95%CI:12.15-26.03%]vs.7.33%[95%CI:25.2-26.0%];P=0.016)。在CR1亚组中,CAR-T-allo-HSCT组的总生存率(OS)更低(41.30%[95%CI:21.60-78.90%]vs.84.80%[95%CI:74.20-96.90%];P=0.006),且Ⅱ-Ⅳ级急性GVHD、mod/sev cGVHD和无复发生存率(GRFS)也更低(32.10%[95%CI:14.60-70.50%]vs.66.90%[95%CI:53.60-83.60%];P=0.02),与化疗组相比,非复发相关死亡率(NRM)更高(40.74%[95%CI:11.82-69.22%]vs.10.29%[95%CI:0.50-20.09%];P=0.03)。此外,在CAR-T-allo-HSCT组中,CAR-T治疗与allo-HSCT间隔超过61天的患者GRFS更高(>61:64.3%[95%CI:52.74-75.86%]vs<61:38.3%[95%CI:25.95-50.65%];P=0.001),Ⅱ-Ⅳ级aGVHD的发病率更低(>61:19.44%[95%CI:10.28-28.65%]vs<61:41.27%[95%CI:29.00-53.54%];P=0.003),Ⅲ-Ⅳ级aGVHD的发病率也更低(>61:6.94%[95%CI:1.04-12.84%]vs<61:26.98%[95%CI:15.80-37.99%];P=0.001)。
 
图1.化疗-allo-HSCT组与CAR-T-allo-HSCT组患者移植后的情况
 
结论
 
CAR-T治疗能消除allo-HSCT前的MRD,OS和RFS与化疗组相似。但CAR-T-allo-HSCT组患者mod/sev cGVHD的发病率更高。在CR1亚组中,与化疗-allo-HSCT组相比,CAR-T-allo-HSCT组的预后较差。CAR-T治疗和allo-HSCT间隔超过61天的患者GRFS更高、Ⅱ-Ⅳ级aGVHD和Ⅲ-Ⅳ级aGVHD的发病率更低。
 
专家点评
 
胡绍燕教授:我们的研究主要集中在白血病、移植、CAR-T,这与我们血液科的特点有关。目前我们苏州大学附属儿童医院血液科的床位有250张床,造血干细胞移植方面一年能达到220-230人,CAR-T方面一年能达到60-70人。越来越多的患者使用贝林妥欧单抗,我们在这方面积累了一些治疗经验,已经发表了3篇贝林妥欧单抗相关的研究成果,这也是细胞免疫治疗的一部分,所以我们血液科在白血病、细胞免疫治疗、骨髓移植都取得了非常好的效果。
 
我们目前正在与国家儿童医学中心(上海)、上海交通大学医学院附属上海儿童医学中心牵头的中国抗癌协会小儿肿瘤专委会急性淋巴细胞白血病(CCCG-ALL-2015)多中心协作组合作展开一项关于小规模的错配修复(MMR)治疗方案的研究,低剂量化疗方案取得了非常好的效果,高莉老师在2023年12月的美国血液学会(ASH)年会上做了汇报。无论是白血病的诊疗,还是造血干细胞移植对白血病的治疗,无论是预防复发,还是早期干预,我们都取得了非常好的成绩。
[1]  [2]  [3]  [4]  [5]  下一页

本内容仅供医学专业人士参考


白血病

分享到: 更多